이 포스트는 K-MOOC 숙명여대 여인권 교수님의 통계학의 이해 Ⅰ 강의를 기반으로 작성되었습니다.
지난 글에서 표본평균의 표집분포를 다루며 지수족이 아닐 때 분포를 구하는 방법 중 근사분포를 유도하는 방법이 있다는 것을 배웠다. 이번에는 그 근사모형을 통해 확률표본의 표본평균 또는 표본합에 대한 통계적 성질을 알아보고자 한다. 그리고 이 때 나오는 중요한 정리인 중심극한정리에 대해 알아볼 것이다.
큰수의 법칙 (law of large numbers, 대수의 법칙)
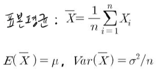
X1, ... , Xn은 평균이 μ이고 분산이 σ^2인 모집단에서 추출된 확률표본이다. 이들의 평균인 표본평균과 기댓값, 분산은 다음과 같이 나타낼 수 있다.

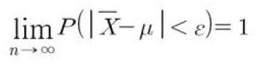
즉, 표본평균은 μ를 중심으로 분포되어 있다는 것이다. 여기에서 분산의 분모에 n이 있으므로 n이 커질수록 분산은 0에 수렴하고, 기댓값은 μ에 수렴한다. 이를 수식적으로 표현하면 아래와 같은데, 모든 ε에 대해 표본평균과 가 벗어날 영역이 n이 커지면 1에 수렴한다는, 즉 이 영역 밖으로 갈 확률은 0이 된다는 것을 나타낸다.

중심극한정리 (Central Limit Theorem, CLT)
아래 그림을 살펴보자. 이는 n개의 확률표본을 구해 그 표본평균의 분포를 유도한 것이다. 가장 왼쪽에 n=1은 표본크기가 1개로써, 모집단을 의미한다. 즉, 모집단의 형태가 가장 왼쪽 열처럼 나타난다는 것이다. 이 때, n이 커질수록 분포 구조들이 모두 정규분포와 비슷해지는 모습을 볼 수 있다.
즉, 모집단의 형태와 관계없이 표본평균의 표집분포는 정규분포에 근사한다. 이를 수식으로 나타내면 다음과 같다.

그렇다면 확률표본의 합은 어떻게 나타나질까? Y=X1+...+Xn이라면 아래처럼 나타낼 수 있다. 이 때 중요한 것은, 평균과 분산은 알고 있어야 한다는 사실이다.

ex1) Xi~Poi(1) (iid) 에서 표본합의 표집분포 X1+...+Xn ~ Poi(k) 형태를 보면 n이 커질수록 정규분포의 형태에 가까워진다.

ex2) 평균 82, 표준편차 12인 모집단(어떤 분포인지는 모름)에서 확률표본 추출 시 P(80.8 ≤ X_bar(표본평균) ≤ 83.2)의 확률은?

'MATH & STATS > STATISTICS' 카테고리의 다른 글
| [통계학] 12-4. 표본분표 - 기타통계량의 표집분포 (0) | 2020.03.11 |
|---|---|
| [통계학] 12-3. 표본분표 - 이항분포의 정규근사 (0) | 2020.03.11 |
| [통계학] 12-1. 표집분포 - 표본평균의 표집분포 (1) | 2020.03.11 |
| [통계학] 11-3. 정규분포 - 확률표본과 통계량 (0) | 2020.03.10 |
| [통계학] 11-2. 정규분포 - 정규분포의 성질 (1) | 2020.03.10 |