이 포스트는 K-MOOC 숙명여대 여인권 교수님의 통계학의 이해 Ⅰ 강의를 기반으로 작성되었습니다.
통계학으로 가기 바로 전 단계인 확률표본과 이의 성질에 대해 알아보고자 한다.
확률표본 (random sample)
확률표본이란 모집단에서 무작위로 선택된 관측값으로 서로 독립이고 동일한 분포를 가진다는 성질(independent and identically distributed, iid)을 만족해야 한다. 즉, 독립이고 동일한 분포를 따르는 것을 복원추출한 표본이다.
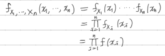
예를 들어 정규분포에서 추출한 경우 아래와 같은 형태로 표시한다.

이는 서로 독립이기 때문에 결합분포는 각 주변분포의 곱으로 나타낸다. 그러나 이는 동일한 분포를 따르기에 X_i에서 i값에 관계없이 동일한 확률질량(밀도)함수를 가진다.

통계량(statistic)과 추정량(estimator)
통계학적 관점에서 이렇게 표본을 뽑는 이유는 무엇일까? 우리가 모집단을 알 수 있다면 좋지만, 대부분의 경우에는 모집단에 대해 모두 알기 어렵기 때문에 모집단에 대한 추론을 하기 위해서 표본을 뽑는 것이다. 따라서 μ, σ을 알기 위해서는 표본평균과 표본분산으로 모수적추론을 해야하며 이러한 것들을 관측가능한 표본의 함수인 통계량(statistic)이라고 부른다. (여기에서 관측가능하다는 것은 미지의 모수는 포함하지 않는다는 것이다.)
추정량(estimator)은 모수를 추정할 때 사용되는 통계량으로, 확률변수 등이 있다.
비슷한 용어로 추정값(estimate, 추정치)이 있는데, 이는 추정량의 관측값이므로 둘의 차이점에 유의해야 한다.
예를 들어, 아래와 같이 모분산만 알고 있을 때 표본평균에 대해 추정할 수 있다.

표집분포(sampling distribution)는 통계량의 확률분포를 나타낸 것으로, 아래 예시처럼 나타내질 수 있다.

'MATH & STATS > STATISTICS' 카테고리의 다른 글
| [통계학] 12-2. 표집분포 - 중심극한정리 (1) | 2020.03.11 |
|---|---|
| [통계학] 12-1. 표집분포 - 표본평균의 표집분포 (1) | 2020.03.11 |
| [통계학] 11-2. 정규분포 - 정규분포의 성질 (1) | 2020.03.10 |
| [통계학] 11-1. 정규분포 - 정규분포와 확률계산 (0) | 2020.03.10 |
| [통계학] 10-3. 주요 이산확률분포 - 다항분포 (0) | 2020.03.10 |