이 포스트는 K-MOOC 숙명여대 여인권 교수님의 통계학의 이해 Ⅱ 강의를 기반으로 작성되었습니다.
이번 포스트에서는 단일 모집단이 정규분포가 아닐 때의 모평균에 대한 통계적 추론을 알아보고자 한다.
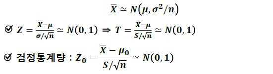
비정규성을 띄는 대표본
정규성을 만족하지 않는데 표본의 크기가 큰 대표본인 경우(n ≥ 30),
중심극한정리에 의해 정규분포에 근사할 수 있다.

비모수적 방법
그렇다면 정규분포가 아닌데 표본 크기가 크지 않은 경우에는 어떻게 할까?
이 때 사용하는 방법이 비모수적 방법이다.
이는 분포에 대한 특별한 제약조건은 없으며, 특정 중심위치에 대한 검정을 진행한다.
- 부호 검정 (sign test)
특정 값을 기준으로 이항분포(B)를 통해 확률(p값)을 계산 - Wilcoxon 부호 순위 검정 (Wilcoxon signed rank test)
특정 값을 기준으로 가까이 있을수록 순위를 매겨, 순위 합을 통해 p값을 계산
재표집(resampling) 방법
마지막으로, bootstrap 방법이라고도 불리는 재표집(resampling) 방법은 특별한 제약조건은 없으며,
표집분포 유도 과정의 알고리즘과 유사하다.

반응형
'MATH & STATS > STATISTICS' 카테고리의 다른 글
| [통계학] 15-1-1. 단일모집단 추론 - 모평균에 대한 통계적 추론(1) (0) | 2020.03.31 |
|---|---|
| [통계학] 14-4. 통계적 추론의 개요 - 유의확률(p-value) (0) | 2020.03.28 |
| [통계학] 14-3. 통계적 추론의 개요 - 유의수준과 검정력 (0) | 2020.03.26 |
| [통계학] 14-2. 통계적 추론의 개요 - 검정통계량과 오류 (0) | 2020.03.18 |
| [통계학] 14-1. 통계적 추론의 개요 - 가설검정의 원리 (0) | 2020.03.18 |