이 포스트는 K-MOOC 숙명여대 여인권 교수님의 통계학의 이해 Ⅱ 강의를 기반으로 작성되었습니다.
이번에는 p값, p-value라고 불리는 유의확률이 무엇인지, 그리고 지난번에 다룬 유의수준과 어떤 차이가 있는지 알아보고자 한다.
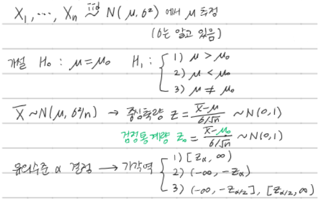
들어가기에 앞서, 모평균을 검정하는 한 예시를 살펴보자.
n개의 확률표본이 어떤 정규분포를 X1, ... , Xn ~ iid N(μ, σ^2) 이렇게 따르고 있다.
이 때 제시하려는 대립가설은 1) H1: μ > μ0, 2) H1: μ < μ0, 3) H1: μ ≠ μ0이고
이에 반대되는 귀무가설은 H0: μ = μ0 하나로 충분히 설명된다.
여기에서 μ를 추정하기 위해서는 앞에서 다뤘듯이 점추정량인 표본평균을 이용하며, 아래와 같이 중심축량을 나타낼 수 있다. 하지만 여기에서 아직 μ값을 모르기 때문에 통계라고 할 수는 없으며, 통계라고 하기 위해서는 귀무가설 값인 μ0를 대입해야 하고 이를 검정 통계량이라고 한다.
그리고 유의수준 α를 정한다면 기각역은 1) [z_α, ∞), 2) (-∞, -z_α], 3) (-∞, -z_α/2], [z_α/2, ∞) 으로 나눠진다.

이렇게 기각역이 정해졌을 때, 기각역에 z_0이 속하는지 여부에 따라 기각여부를 결정하게 된다.
이를 위해서는 z_α 값과 z_0 값을 매번 구해줘야 하기 때문에 비효율적이다.
따라서 굳이 z_α를 구하지 않는 방법으로 분포의 면적을 구하는 방식으로 계산할 수 있다.
아래의 그림에서 α 값은 해당 분포에서의 면적을 의미하므로, z_0가 나타내는 위치에서의 면적을 구해 그 면적이 α값보다 큰지 작은지에 따라 기각 여부를 결정할 수 있는데, 이 면적을 유의확률, p값이라고 부른다.

즉, 유의확률(p-값, p-value)는 관측값에 의해 귀무가설 H0를 기각시킬 수 있는 최소 유의수준을 말하며
p-값 < α 이면 귀무가설을 기각하고, p-값 > α 이면 귀무가설을 유지한다.

'MATH & STATS > STATISTICS' 카테고리의 다른 글
| [통계학] 15-1-2. 단일모집단 추론 - 모평균에 대한 통계적 추론(2) (0) | 2020.04.17 |
|---|---|
| [통계학] 15-1-1. 단일모집단 추론 - 모평균에 대한 통계적 추론(1) (0) | 2020.03.31 |
| [통계학] 14-3. 통계적 추론의 개요 - 유의수준과 검정력 (0) | 2020.03.26 |
| [통계학] 14-2. 통계적 추론의 개요 - 검정통계량과 오류 (0) | 2020.03.18 |
| [통계학] 14-1. 통계적 추론의 개요 - 가설검정의 원리 (0) | 2020.03.18 |