이 포스트는 K-MOOC 숙명여대 여인권 교수님의 통계학의 이해 Ⅱ 강의를 기반으로 작성되었습니다.
지난 13,14에 배운 통계적 추론에 대한 기본적인 내용을 바탕으로 다양한 경우에 대한 통계적 추론을 해보고자 한다.
이번 포스트에서는 단일 모집단이 정규분포일 때 모평균에 대한 통계적 추론을 배워보고자 한다.
모평균 점추정
모집단이 정규분포인 경우, 우선 정규분포의 가정을 데이터가 만족하고 있는지 확인해야 한다.
이는 Shapiro-Wilk test, Jacque-Bera test 를 통해 검정해볼 수 있다.
모집단에서 확률 표본 X1, ... , Xn ~ iid N(μ, σ^2)을 뽑은 후 평균을 추론하는데,
이 확률 표본은 X_i = μ + ε_i, ε_i ~ iid N(0, σ^2)으로 표현하기도 한다.
우리가 구해야 하는 모평균 μ는 표본평균 x̅를 통해 점추정으로 구할 수 있다.
표본평균 x̅의 경우 아래와 같은 성질을 가지고 있다.
아래 내용에서 표준화를 시켰을 때 포함되어 있는 σ는 알 수 없는 경우가 많으므로 s로 대체하는데,
이 경우 표준화된 값을 중심축량 T라고 부른다.
중심축량 T는 자유도가 n-1인 t분포를 따르게 된다.

여기에서 평소에 많이 들어봤을 Student t분포란, 아래와 같은 확률밀도함수를 가진 분포이다.

이를 그림으로 보다 쉽게 이해해보자.
그림에서 검정색은 표준정규분포, 빨간색은 자유도가 10인 t분포, 파란색은 자유도가 5인 t분포이다.
정규분포와 거의 유사하게 0을 중심으로 대칭인 그래프를 나타내며, 정규분포보다 꼬리쪽이 좀 더 두꺼운 것을 알 수 있다.
또한, 자유도가 커질수록 표준정규분포에 근접하게 나타난다.

t분포는 자유도에 따라 다양하게 확률이 존재하므로, 단일 표로 확률을 나타낼 수 없고 아래와 같은 표를 참고해야 한다.
왼쪽 행에서는 자유도를 선택하고, 위쪽 열에서는 면적(확률)을 찾아 해당하는 t값을 구한다.
이를 통해 구간추정 또는 가설검정할 때의 임계값을 구할 수 있다.

모평균 구간추정
구간추정의 경우 신뢰구간 100(1-α)%를 이용한다.

이를 일반적인 식의 형태로 신뢰구간을 구해보면 다음과 같다.

모평균 가설검정
위의 구간추정을 참고하여 모평균 가설검정을 하는 과정을 알아보자.
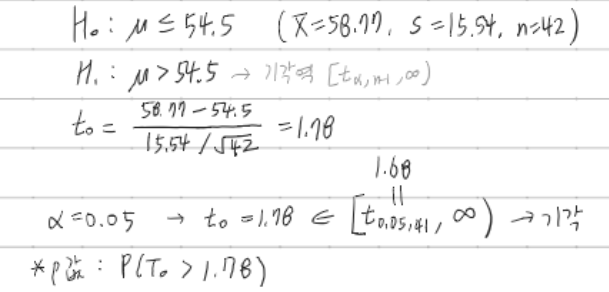
귀무가설을 H0 : μ = μ0로 놓으면,
보이고자 하는 대립가설은 1) H1 : μ > μ0, 2) H1 : μ < μ0, 3) H1 : μ ≠ μ0 와 같이 존재할 수 있다.
검정통계량은 앞에서 봤던 T값으로 놓을 수 있으며, 기각역은 아래와 같이 나타내진다.

아래 예시를 통해 실제로 어떻게 검정하는지 알아보자.

'MATH & STATS > STATISTICS' 카테고리의 다른 글
| [통계학] 15-1-2. 단일모집단 추론 - 모평균에 대한 통계적 추론(2) (0) | 2020.04.17 |
|---|---|
| [통계학] 14-4. 통계적 추론의 개요 - 유의확률(p-value) (0) | 2020.03.28 |
| [통계학] 14-3. 통계적 추론의 개요 - 유의수준과 검정력 (0) | 2020.03.26 |
| [통계학] 14-2. 통계적 추론의 개요 - 검정통계량과 오류 (0) | 2020.03.18 |
| [통계학] 14-1. 통계적 추론의 개요 - 가설검정의 원리 (0) | 2020.03.18 |