본문 바로가기

MATH & STATS/STATISTICS

[통계학] 13-3. 통계적 추론의 개요 - 구간추정과 신뢰구간

이 포스트는 K-MOOC 숙명여대 여인권 교수님의 통계학의 이해 Ⅱ 강의를 기반으로 작성되었습니다.

지난 글에서 추론 목적에 따라 통계적 추론을 하는 방법에서의 추정 방법 중 하나인 점추정 방법에 대해 알아보았다. 이번에는 또 다른 방법인 구간추정에 대해 알아보고자 한다.

구간추정

미지의 모수가 포함될 것으로 기대되는 범위를 확률적(1-α)으로 선택하는 과정

  • 신뢰구간(CI, confidence interval)
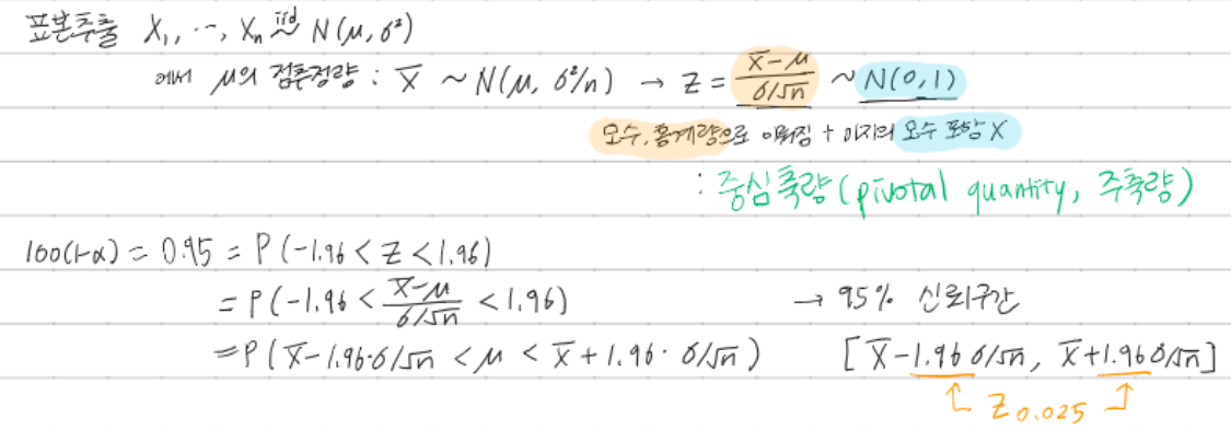
    관심모수가 Φ일 때, 100(1-α)% 신뢰구간은 P(L<Φ<U)=1-α를 만족하는 [L,U]를 말한다.
    이 때 L과 U는 확률변수로써 이를 유도할 때 점추정량이 주요 역할을 한다.
  • 신뢰수준(confidence level): 100(1-α)%

ex) 모집단이 N(μ,σ^2)이고 σ^2를 알고 있을 때 모평균 μ에 대한 95% 신뢰구간은?

구간추정 예시

95% 신뢰구간에서 ±1.96 대신 확률을 만족시키는 다른 값을 사용할 수 있을까? 
사용할 수 있다! 꼭 대칭으로 잘라서 구간을 구해야하는 것은 아니다.
예를 들어 (-z_0.04, z_0.01)로 구할수도 있고, 한쪽 끝으로 몰아 (-∞, z_0.05) 또는 (-z_0.05, ∞)와 같이 단축신뢰구간(one-sided CI)로 구할수도 있다.
신뢰구간 구하는 다른 방법들

보통 단축신뢰구간은 특수한 목적으로 사용할 수 있지만, 첫번째의 경우는 잘 사용하지 않는다. 왜냐하면 첫번째와 같이 구간의 양쪽을 다르게 하면 간격 사이의 길이가 더 길어지므로 보다 효율적으로 찾고자 한다면 구간의 양쪽을 다르게 하는 것보단 같게 하는 것이 더욱 바람직하다.

 

모평균의 95% 신뢰구간이 (L, U)라면, P(L<μ<U) = 0.95인가?
정답은 '아니다'. 우리는 빈도론자(frequentiest) 추론 관점에서 모수를 고정된 상수값이라고 생각했으므로, μ는 상수이다. 따라서 P(L<μ<U)는 0 아니면 1이 나오지, 특정한 다른 확률 값으로 나올 수 없다. 
하지만 베이지안 관점에서는 가 확률변수이기 때문에 가능할 수 있으며, 이를 신용구간(credible interval)이라 한다.

 

반응형