랜덤변수 X의 밀도함수가 아래와 같은 식의 형태를 띄면, 이 랜덤변수는 가우시안(gaussian)이라고 한다.
(여기에서 σX>0, -∞<aX<∞이며, 최댓값은 x=aX에서 1/sqrt(2πσ^2)이다.)

점 x=aX를 중심으로 퍼진 정도는 σX와 관계되며, x=aX+σX와 x=aX-σX에서 최댓값의 0.607배만큼 감소한다.
가우시안의 분포함수는 밀도함수의 적분을 통하여 구할 수 있으며 다음과 같다.

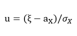
하지만 이 적분은 정적분이 되지 않으므로 수치적 또는 근사적인 방법으로 구해야 한다. 또한 aX와 σX에 따라 무한개의 값을 가지고 있으므로 aX=0, σX=1로 정규화된 경우를 생각해보자.

식은 위와 같아지며, F(-x) = 1 - F(x)와 같은 특성을 지니고 변수치환을 하게 되면


이로부터 다음과 같은 결론을 도출할 수 있다.

따라서 어떤 가우시안 랜덤변수의 평균과 표준편차를 안다면, 그것의 분포함수를 구할 수 있다.
함수 F(x)는 근사식에 의해 구할 수도 있는데, 아래의 과정을 살펴보자.



Q(x)의 근사식에서 a=0.339, b=5.510일 때 최소의 절대 상대오차를 가진다고 밝혀졌다.
이제 특별한 이름이 붙여진 다른 중요 분포함수들에 대해 알아보자.
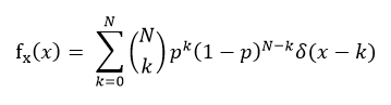
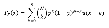
이항(binomial) 분포
베르누이 시행 실험에 적용되는 이항 분포의 밀도함수 및 분포함수는 아래와 같다.


포아송(Poisson) 분포
포아송 분포는 이항 랜덤변수에서 N→∞, p→0이고 Np=b를 만족할 때의 분포이며, 밀도함수 및 분포함수는 아래와 같다.


포아송 분포에서는 사건들끼리 같은 분포로 서로 독립이라는 가정이 주어져 있다.
만약 관찰하려는 시간 구간이 T이고 사건이 λ의 비율로 일어나며 포아송 분포를 가지면 b=λT가 된다.
균일(Uniform) 분포
균일한 확률을 가지는 균일 밀도함수 및 분포함수는 아래와 같다.


균일 확률 밀도 및 분포함수는 신호의 양자화(샘플값을 일정 이산적 양자 레벨에 가까운 값으로 반올림하는 것) 등에 많이 쓰인다.
지수(Exponential) 분포
지수 밀도함수 및 분포함수는 아래와 같다.


지수 밀도 및 분포는 폭풍우 측정 시 빗방울의 크기 또는 레이더에 수신되는 신호 세기의 변동 등을 근사적으로 나타낸다.
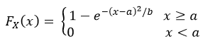
레일리(Rayleigh) 분포
레일리 밀도함수 및 분포함수는 아래와 같다.


레일리 밀도 및 분포는 여러 측정 시스템 오차 해석에서 주로 쓰인다.
'MATH & STATS > STATISTICS' 카테고리의 다른 글
| [통계학] 1-2. 통계학이란 - 표본추출 (1) | 2020.03.01 |
|---|---|
| [통계학] 1-1. 통계학이란 - 모집단과 표본 (0) | 2020.03.01 |
| [Peebles] 2. 랜덤변수 (1) 랜덤변수의 개념과 분포함수, 밀도함수 (0) | 2019.04.09 |
| [Peebles] 1. 확률 (2) 결합 확률과 조건 확률, 독립 사건, 혼합 실험, 베르누이 시행 (2) | 2019.03.24 |
| [Peebles] 1. 확률 (1) 집합의 정의, 집합 연산, 집합과 상대 빈도를 적용한 확률 (0) | 2019.03.24 |